Disclaimer: Early release articles are not considered as final versions. Any changes will be reflected in the online version in the month the article is officially released.
Volume 31, Number 11—November 2025
Research Letter
Mortality Event in Rainbow Snakes Linked to Snake Fungal Disease, United States
Figure 2

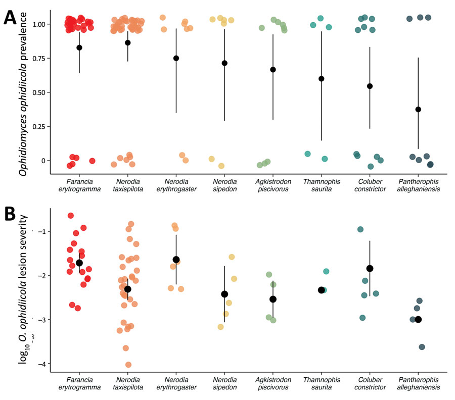
Figure 2. Variation in Ophidiomyces ophidiicola infection among snake species from a study of a mortality event in rainbow snakes linked to snake fungal disease, United States. Sampling results during spring (January−June) in 2020–2023 in the Back Bay watershed in Virginia and North Carolina. Black circles and error bars indicate mean lesion severity with 95% CIs. A) Each colored point represents an individual snake sampled and whether it was positive (1) or negative (0) for O. ophidiicola. Data points are slightly jittered for visualization purposes. B) Summed lesion severity values accounting for lesion size, lesion progression, and proportion of snake affected (Appendix). Snakes without lesions were omitted.
1These authors contributed equally to this article.