Disclaimer: Early release articles are not considered as final versions. Any changes will be reflected in the online version in the month the article is officially released.
Volume 32, Number 3—March 2026
Research
Seroincidence Rate of Typhoidal Salmonella in Children, Kenya, 2017–2018
Figure 3

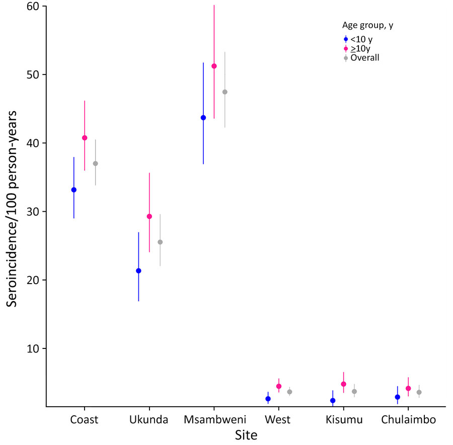
Figure 3. Seroincidence in study of typhoidal Salmonella in children, Kenya, 2017–2018. Typhoid seroincidence rate by region and study site is shown stratified by patient age. Dots represent medians; error bars indicate 95% CIs. Coast sites were Ukunda and Msambweni; west sites were Kisumu and Chulaimbo.
1These senior authors contributed equally to this article.
Page created: February 13, 2026
Page updated: March 05, 2026
Page reviewed: March 05, 2026
The conclusions, findings, and opinions expressed by authors contributing to this journal do not necessarily reflect the official position of the U.S. Department of Health and Human Services, the Public Health Service, the Centers for Disease Control and Prevention, or the authors' affiliated institutions. Use of trade names is for identification only and does not imply endorsement by any of the groups named above.