Disclaimer: Early release articles are not considered as final versions. Any changes will be reflected in the online version in the month the article is officially released.
Volume 31, Number 12—December 2025
Research
Oral Transmission of Classical Bovine Spongiform Encephalopathy in ARR/ARR Sheep
Figure 2

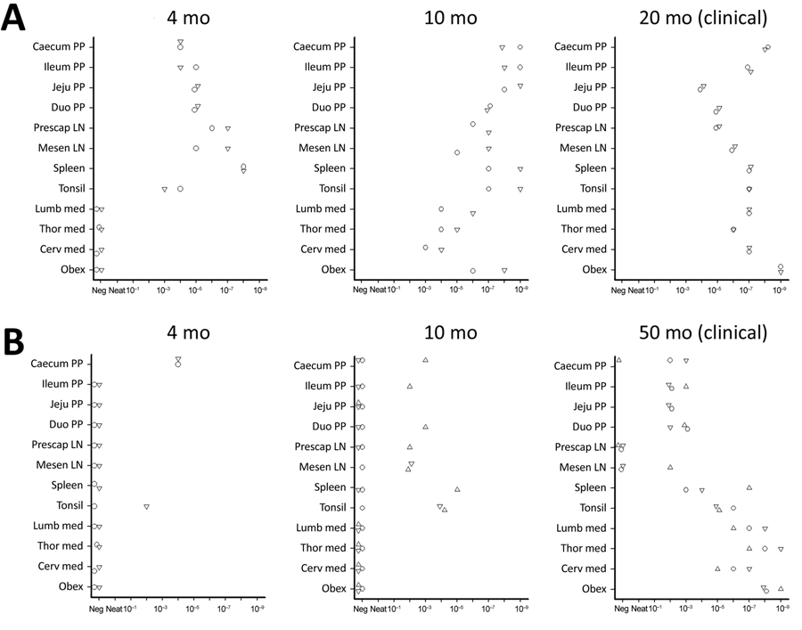
Figure 2. Protein misfolding cyclic amplification (PMCA) seeding activity levels in ARR/ARR and ARQ/ARQ sheep tissues after classical bovine spongiform encephalopathy challenge in study of oral transmission of classical bovine spongiform encephalopathy in ARR/ARR sheep. A) ARQ/ARQ sheep. B) ARR/ARR sheep. Protein misfolding cyclic amplification products were analyzed by using Western blot for proteinase K–resistant core prion protein detection. Each symbol represents a different animal and the associated tissue tested. Cerv, cervical; duo, duodenum; jeju, jejunum; LN, lymph node; lumb, lumbar; med, medial; mesen, mesenteric; Neg, negative; pp, Peyer’s patches; prescap, prescapular; thor, thorasic.
1These first authors contributed equally to this article.